23/100 DOP (23.1.2022)
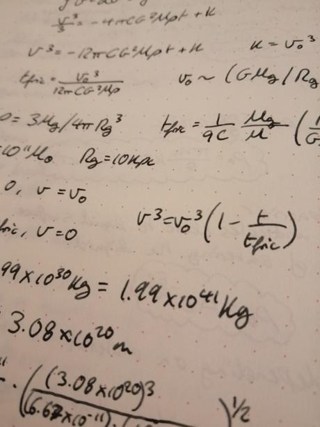
Today was actually pretty productive! I finished catching up on my nanotechnology lectures, I started some of my SMBH coursework, and I did some coding for my masters project! Hopefully this evening I will email some supervisors, but who knows!
All our respect and support!
https://research-degree-thesis.com/


